近日,永利罗世琼教授与贵州省山地环境重点实验室杨占南教授,在生物学领域中科院一区TOP期刊Microbiological Research 在线发表,题为Effect of pathogen Globisporangium ultimum on plant growth and colonizing bacterial communities的研究性论文。该论文揭示黄花蒿(Artemisia annua)、水稻(Oryza sativa)和鱼腥草(Houttuynia cordata)选择性招募的细菌群落可以减轻病原真菌Globisporangium ultimum对幼苗生长的危害(图 2)。

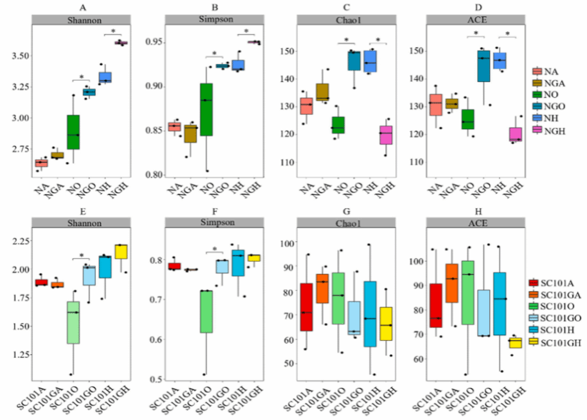
植物从土壤中招募与植物相关微生物,促进植物生长并减轻病原微生物对植物健康的不利影响。然而,微生物-植物互作减轻病原微生物对植物生长危害知之甚少。该研究通过建立S-微系统(即灭菌土壤生长的无菌黄花蒿、水稻或鱼腥草幼苗接种101种组合细菌(简称为101细菌))和N-微系统(自然土壤生长的无菌黄花蒿、水稻或鱼腥幼苗接种101细菌),评价定殖细菌群落减轻病原真菌G. ultimum对植物生长的危害。S-微系统和N-微系统分别接种和不接种G. ultimum处理后,调查其幼苗生长和细菌群落的丰度和组成。在黄花蒿、水稻和鱼腥草S-微系统中,接种G. ultimum的植株高度和根数分别较对照高34.5%和52.8%、23.1%和31.3%、102.1%和45.0%。在黄花蒿、水稻和鱼腥草S-微系统未接种G. ultimum的细菌群落多样性及丰度总体高于接种G. ulticum的系统(图 3)。根瘤菌属Rhizobium、假单胞菌属Pseudomonas、短壁单胞菌属Brevundimonas和杯状菌属Cupriavidus相对丰度与植物生长呈显著正相关(图 4)。

图2

图3

图4
该研究发现,植物物种和生物因素调控细菌群落组成和丰度,减轻病原真菌G.ultimum对黄花蒿、水稻和鱼腥草生长的危害。这为细菌群落人工重组作为生物农药的潜在应用提供新视角,为深入研究微生物-植物互作抵抗病原微生物的生物防治提供一种生态策略。
该论文的共同第一作者为山地环境重点实验室杨占南教授和yl23455永利集团2020级微生物专业研究生王玉,yl23455永利集团罗世琼教授为通讯作者。该研究得到国家自然科学基金(41761010)、贵州省自然科学基金(黔科合基础 [2020]1Y179),黔科合基础-ZK [2024]一般426)的资助。
论文链接:https://doi.org/10.1016/j.micres.2024.127937
原文链接:https://news.gznu.edu.cn/info/1013/104375.htm