永利徐雨教授,联合西华师范大学、四川大学、成都大熊猫繁育基地、中国科学院动物研究所等单位的研究人员,在国际著名生物学学术期刊Proceedings of the Royal Society B: Biological Sciences(大类1区,Nature指数期刊)及生态学著名学术期刊Global Ecology and Biogeography(大类1区),分别发表了题为“Ecological predictors of interspecific variation in bird bill and leg lengths on a global scale”及“Disentangling ecological drivers of interspecific achromatic plumage variation in birds”的研究论文,对全球鸟类喙长、腿长及羽色深浅变化的生态驱动因素进行了探讨。

图1 全球非迁徙鸟类喙长、跗跖长的变化

图2 全球非迁徙鸟类羽色深浅的变化
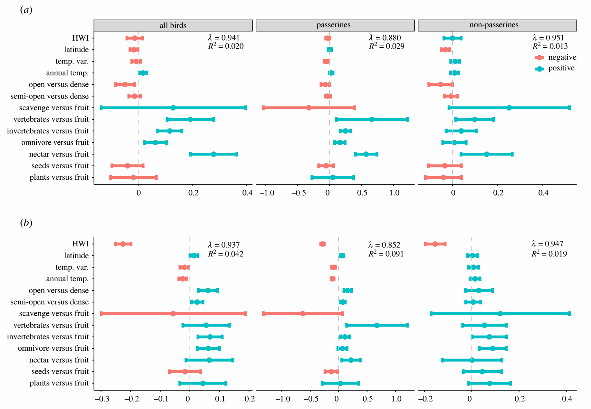
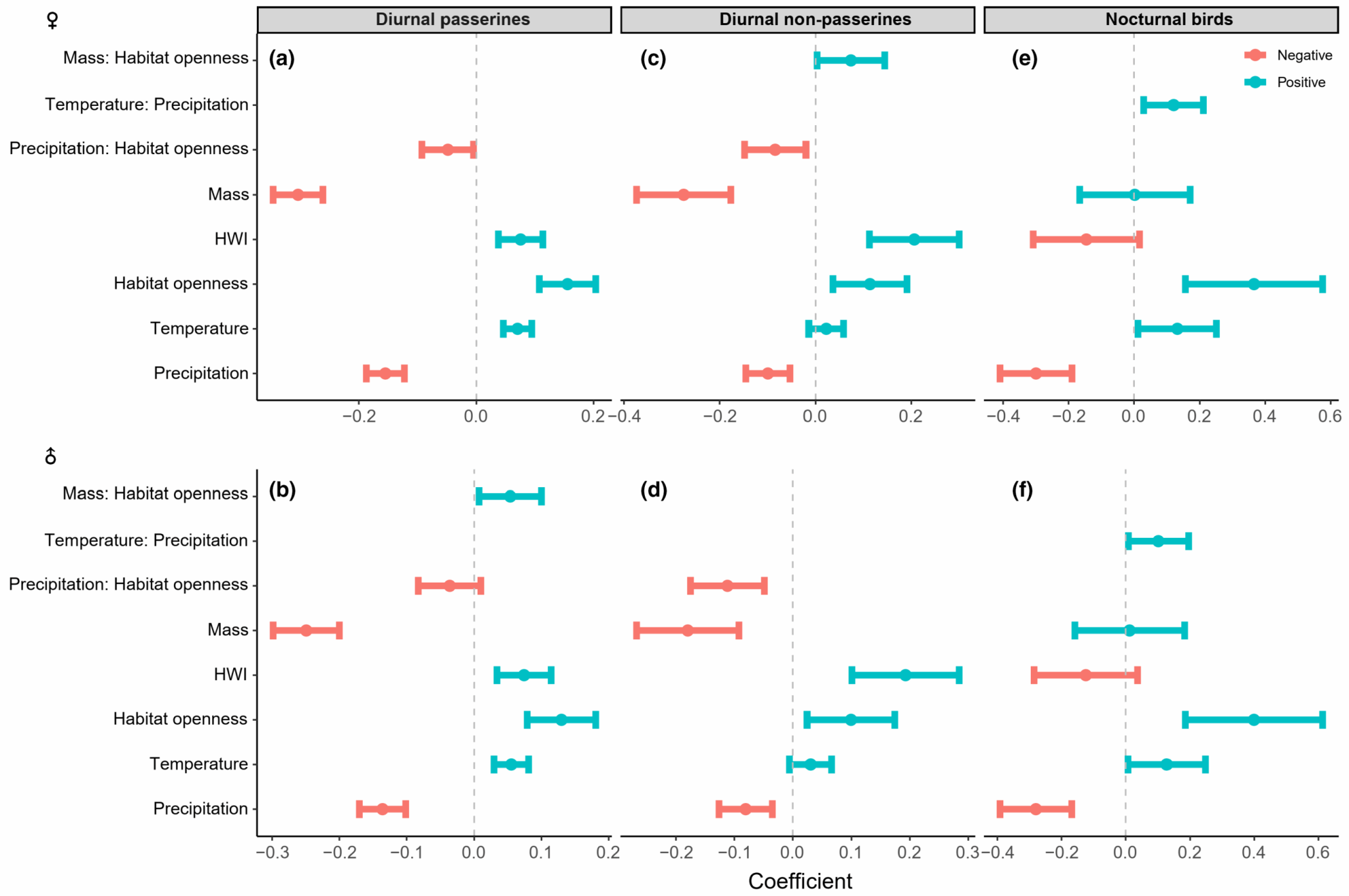
全球有超过10000种鸟类,为什么有的鸟类喙长、有的喙短,有的腿长、有的腿短,有的羽色深,有的羽色浅?这些问题自达尔文时期以来,一直吸引着进化生物学与生态学学者的关注,但对其形成机制的认识依然充满挑战。上述两项研究以全球非迁徙性鸟类为对象,运用系统发育线性回归和系统发育路径分析,在控制物种间系统发育关系及因子间直接与间接关系的前提下,检验相关假说。研究揭示了鸟类喙长和跗跖(即裸露的腿部)长的变化如何适应觅食、体温调节和飞行性能等功能及其权衡,以及羽色深浅变化如何适应体温调节、隐蔽、信号传递、防水及抗菌等功能及其权衡。这些发现为深入理解鸟类如何适应环境与进化提供了重要证据。

图3 喙长、跗跖长变化的系统发育回归的标准化回归系数

图4 羽色深浅变化的系统发育回归的标准化回归系数

图5 羽色深浅变化及因子间交互作用的偏残差图
在这两篇论文中,徐雨为第一篇论文的第一作者,第二篇论文的第一作者为徐雨指导的2021级硕士研究生伍素。该研究得到了国家自然科学基金委员会-贵州省人民政府喀斯特科学研究中心项目(U1812401)、国家自然科学基金(32270540、32000354)、贵州省科学技术基金等项目(黔科合基础-ZK[2021] 098)的支持。
论文链接:
https://royalsocietypublishing.org/doi/abs/10.1098/rspb.2023.1387
https://onlinelibrary.wiley.com/doi/10.1111/geb.13892
原文链接:https://news.gznu.edu.cn/info/1013/99435.htm